100倍杠杆涨1%挣多少-最近热门股市-【东方资本】,炒股开户哪家佣金低,股票当天买能当天卖不,股票T操作是什么意思

CFD概念詳解

CFD(Computational Fluid Dynamics),即計算流體動力學。CFD是近代流體力學,數值數學和計算機科學結合的產物,它是將流體力學的控制方程中 積分、微分項近似地表示為離散的代數形式,使其成為代數方程組,然后通過計算機求解這些離散的代數方程組,獲得離散的時間/空間點上的數值解。

CAF平臺今天來通過物理情況的數學模型和數值方法來分析流體流動。

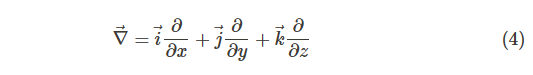
例如,納維-斯托克斯(N-S)方程被指定為物理情況的數學模型。這描述了流體流動和傳熱的所有這些物理性質的變化。數學模型根據問題的內容而變化,例如傳熱,傳質,相變,化學反應等。
此外,CFD分析的可靠性在很大程度上取決于過程的整體結構。數學模型的驗證對于創建解決問題的準確案例非常重要。此外,確定適當的數值方法是生成可靠解決方案的關鍵。CFD分析是生成可持續產品開發過程的關鍵要素,因為可以大大減少物理原型的數量。

使用 N-S 方程獲得的 F1 賽車周圍氣流的流線

計算流體動力學的歷史

從古代到現在,人類一直渴望發現基于流體流動的現象。那么,CFD有多大年紀?CFD領域的實驗研究有一個很大的缺點:如果它們需要準確,它們會消耗大量的時間和金錢。因此,科學家和工程師希望生成一種方法,使他們能夠將數學模型和數值方法與計算機配對,以便更快地進行檢查。

計算流體動力學的簡要故事可以理解如下:

  • 1910年:改進了數學模型和數值方法。
  • 1910 – 1940:集成模型和方法以生成基于手動計算的數值解。
  • 1940年-1950年:使用早期計算機(ENIAC)過渡到基于計算機的計算.1953年,川古蒂用機械臺計算器解決了圓柱體周圍的流動問題。
  • 1950年-1960年:美國洛斯阿拉莫斯國家實驗室使用計算機模擬基于納維-斯托克斯方程的流體流動的初步研究。渦度的評估 – 流函數方法。世界上第一個二維、瞬態、不可壓縮流動的實現。
  • 1960 – 1970:第一篇科學論文“任意物體勢流的計算”由赫斯和史密斯于 3 年發表,內容涉及 1967D 物體的計算分析。生成商業代碼。各種方法的貢獻,如k-ε湍流模型,任意拉格朗日-歐拉,簡單算法,這些方法仍然被廣泛使用。
  • 1970 – 1980:波音公司、美國宇航局和一些公司生成的代碼已經公布并開始使用潛艇、水面艦艇、汽車、直升機和飛機等幾種產量。
  • 1980 – 1990:改進三維情況下跨音速流動的精確解,商業法規已開始通過學術界和工業界實施。
  • 1990年至今:信息學的全面發展:CFD幾乎在每個領域的全球使用。

大事件

所有理論流體動力學模型的中心數學描述由納維-斯托克斯方程給出,該方程描述了粘性流體域的運動。他們的發現歷史非常有趣。一個奇怪的巧合是,著名的納維-斯托克斯方程是由克勞德-路易斯·納維耶(1785-1836)和喬治·加布里埃爾·斯托克斯爵士(1819-1903)提出的,他們從未見過面。起初,克勞德-路易·納維耶(Claude-Louis Navier)對方程的部分進行了研究,直到1822年。后來,喬治·加布里埃爾·斯托克斯爵士在 1845 年調整并最終確定了方程)。

克勞德-路易斯·納維爾
和喬治·加布里埃爾·斯托克斯爵士

控制方程

熱流體檢查的主要結構由基于流體物理性質守恒定律的控制方程指導。基本方程是守恒定律:

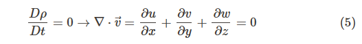
  1. 質量守恒:連續性方程
  2. 動量守恒:牛頓第二定律
  3. 能量守恒:熱力學第一定律或能量方程

這些原理指出,質量、動量和能量是封閉系統中的穩定常數。基本上一切都必須保存。

研究具有熱變化的流體流動依賴于某些物理性質 。必須從這三個基本守恒方程中同時獲得的三個未知數是速度v , 壓力p和絕對溫度T。然而,p和T被認為是兩個必需的獨立熱力學變量。守恒方程的最終形式還包含四個其他熱力學變量;密度ρ、焓h、粘度μ和導熱系數k;最后兩個也是傳輸屬性 。這四個屬性由以下值唯一確定:p和T.

應分析流體流動以了解速度v , 壓力p和絕對溫度T 貫穿流態的每個點。在設計任何涉及流體流動的產品之前,這一點最為重要。此外,基于運動學特性的流體流動觀察方法也是一個基本問題。
流體的運動可以用拉格朗日或歐拉方法進行研究。流體運動的拉格朗日描述基于遵循足夠大的流體粒子以檢測性質的理論。時間的初始坐標t0和同一粒子在時間上的坐標t1必須接受檢查。跟隨數百萬個單獨的粒子通過路徑幾乎是不可能的。在歐拉方法中,速度場不是跟隨任何特定的粒子穿過路徑,而是作為時間空間的函數進行檢查。這個導彈的例子準確地解釋了這兩種方法。

在拉格朗日進近中,該人相對于導彈是穩定的,否則在歐拉進近中是穩定的

拉格朗日:我們在域的開始處獲取每個點,并跟蹤其路徑,直到它到達終點。
歐拉:我們考慮流體中的一個窗口(控制體積),并分析該體積內的粒子流。

運動的拉格朗日公式總是與時間有關的。因為a、b和c是粒子的初始坐標;x、 y和z是相同粒子在時間t的坐標。拉格朗日流的運動描述:

在歐拉方法中,u、v和w是時間t點(x、y、z)處的速度分量。因此,u、v和w是自變量x、y和z的函數。描述任何特定時間t的歐拉流的運動:

理解方程式

質量守恒方程指定為:

哪里ρ是密度,U速度和?漸變運算符

如果密度恒定,則假定流動不可壓縮,連續性方程簡化為:

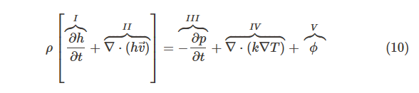
動量守恒可稱為納維-斯托克斯方程,由下式給出:

p是靜壓,τˉ是粘性應力張量和ρg 是單位體積的引力。在這里,羅馬數字表示:

I:隨時間的局部變化
 II:動量對流
III:表面力 IV:擴散項
V:質量力

粘性應力張量τˉ可以根據斯托克假設指定如下:

如果假設流體是不可壓縮的,并且粘度系數\(\mu\)恒定,則納維-斯托克斯方程簡化為:

能量守恒定律是熱力學第一定律,它指出添加到系統中的功和熱量的總和將導致系統中能量的增加:

哪里dQ是添加到系統中的熱量,dW是在系統上完成的工作,并且dEt是系統總能量的增量。能量方程的常見類型之一是:

I:隨時間
的局部變化 II:對流項 III:壓力功
IV:熱通量
V:源項

偏微分方程

數學模型只是為我們提供了整個過程直接或間接涉及的傳輸參數之間的相互關系。盡管這些方程中的每個項都對物理現象有相對影響,但應通過包含微分方程、向量和張量符號的數值解同時考慮參數的變化。偏微分方程包含多個變量,用”?".如果方程的推導用”d“,這些方程被稱為包含單個變量及其推導的常微分方程 (ODE)。偏微分方程涉及變換微分算子 (?)進入代數算子以獲得解。傳熱、流體動力學、聲學、電子學和量子力學是偏微分方程用于生成解決方案的領域。

ODE示例:

偏微分方程示例:

偏微分方程對于尋求控制方程的解有什么意義?為了回答這個問題,我們首先考察了一些偏微分方程的基本結構,以創造內涵。例如:

公式(5)和公式(13)之間的快速比較指定了連續性方程的拉普拉斯部分。下一步是什么?這個拉普拉斯類比是什么意思?要開始求解這些巨大的方程,下一步是通過離散化來點燃數值求解過程。數值解是一種基于離散化的方法,用于獲得解析方法無法解決的復雜問題的近似解。如圖 3 所示,沒有離散化的求解過程僅為您提供一個精確但簡單的分析解。此外,數值解的精度在很大程度上取決于離散化的質量。可以指定廣泛使用的離散化方法,例如有限差分、有限體積、有限元、譜(元素)方法和邊界元。

精確的數值離散化有助于線性化偏微分方程并捕獲敏感變量梯度

CFD的應用

CFD軟件的一般結構由前處理、求解器、后處理三部分組成。前處理、求解器及后處理三大模塊, 各有其獨特的作用, 分別表示如下:

目前比較主流的CFD軟件有:CFX、Fluent、comsol、star-ccm+、flow-3D、AUTODESK CFD(前身為CFdesign)。其中CFX,Fluent,star-CD,comsol等為通用求解器,能夠解決各類流體問題。 更多的CAE軟件應用請查看

CFX

CFX是由英國AEA公司開發,是一種實用流體工程分析工具,用于模擬流體流動、傳熱、多相流、化學反應、燃燒問題。其優勢在于處理流動物理現象簡單而幾何形狀復雜的問題。適用于直角/柱面/旋轉坐標系,穩態/非穩態流動,,不可壓縮/弱可壓縮/可壓縮流體,浮力流,多相流,化學反應,燃燒,NOx生成,輻射,多孔介質及混合傳熱過程。CFX采用有限元法,自動時間步長控制,Coupled算法,代數多網格、ICCG、Line、Stone和BlockStone解法。能有效、精確地表達復雜幾何形狀,任意連接模塊即可構造所需的幾何圖形。

CFX引進了各種公認的湍流模型。例如:k-e模型,低雷諾數k-e模型,RNGk-e模型,代數雷諾應力模型,微分雷諾應力模型,微分雷諾通量模型等。CFX的多相流模型可用于分析工業生產中出現的各種流動。包括單體顆粒運動模型,連續相及分散相的多相流模型和自由表面的流動模型。

FLUENT

Fluent是目前可用的、功能較強大的計算流體動力學(CFD)軟件工具,能夠讓您更深入更快速地優化自己的產品性能。Fluent內含經充分驗證過的物理建模功能,能為廣泛的CFD和多物理場應用提供快速、精確的結果。
ANSYS Fluent軟件內置豐富的模型流、湍流、熱傳導和工業應用相互作用所需的物理建模功能,應用范圍涵蓋機翼氣流、爐內燃燒、泡罩塔、石油平臺、血流、半導體制造、無塵室設計和污水處理廠。借助專用模型,該軟件能夠對氣缸內燃燒、空氣聲學、旋轉機械和多物理場系統進行建模,從而進一步拓展了其應用范圍。 它具有豐富的物理模型、先進的數值方法和強大的前后處理功能,在航空航天、汽車設計、石油天然氣和渦輪機設計等方面都有著廣泛的應用
CAE云實證Vol.5:怎么把需要45天的突發性Fluent仿真計算縮短到4天之內?

FloEFD

FloEFD是CFD的新分支——同步CFD的應用產品。FloEFD是一款功能齊全的通用CFD工具,與Catia, NX, Creo以及其他主流MCAD系統集成。不過FloEFD主要專注于熱分析,是一款專業的熱分析軟件。FloEFD 前處理過程非常簡單,自動完成笛卡爾網格劃分。處理仿真過程中的每一步——直接使用三維 CAD數據準備分析模型,生成網格,求解和結果可視化——所有步驟包含在一個程序包內。FloEFD與傳統CFD軟件都基于同樣的數學原理,但是FloEFD擁有的七大關鍵技術將之與傳統CFD軟件區別開來,使得它使用起來更簡單,功能更強大,結果更精確。

COSMOL

COMSOL集團是全球多物理場建模解決方案的提倡者與領導者。憑借創新的團隊、協作的文化、前沿的技術、出色的產品,這家高科技工程軟件公司正飛速發展,并有望成為行業領袖。其旗艦產品COMSOL Multiphysics 使工程師和科學家們可以通過模擬,賦予設計理念與生命。它有無與倫比的能力,使所有的物理現象可以在計算機上完美重現。
COMSOL 提供的多個輔助工具,進一步提升了仿真平臺的功能應用,為工程人員提供了驗證、優化設計和仿真 App 部署的一體化解決方案。COMSOL 產品主要面向技術型企業、研發中心、國家實驗室以及高等院校的廣大工程師和科研人員。通過模擬真實世界中的多物理場現象,幫助工程師開發出更好的技術和產品 。
CAE云實證Vol.11:這樣跑COMSOL,是不是就可以發Nature了

GAMBIT

專用的CFD前置處理器,FLUENT系列產品皆采用FLUENT公司自行研發的Gambit前處理軟件來建立幾何形狀及生成網格,是一具有超強組合建構模型能力之前處理器,然后由Fluent進行求解。也可以用ICEM 對CFD進行前處理,由TecPlot進行后處理。

Fidap

基于有限元方法的通用CFD求解器,為一專門解決科學及工程上有關流體力學傳質及傳熱等問題的分析軟件,是全球第一套使用有限元法于CFD領域的軟件,其應用的范圍有一般流體的流場、自由表面的問題、紊流、非牛頓流流場、熱傳、化學反應等等。FIDAP本身含有完整的前后處理系統及流場數值分析系統。 對問題整個研究的程序,數據輸入與輸出的協調及應用均極有效率。

Polyflow

針對粘彈性流動的專用CFD求解器,用有限元法仿真聚合物加工的CFD軟件,主要應用于塑料射出成形機,擠型機和吹瓶機的模具設計。

Mixsim

針對攪拌混合問題的專用CFD軟件,是一個專業化的前處理器,可建立攪拌槽及混合槽的幾何模型,不需要一般計算流力軟件的冗長學習過程。它的圖形人機接口和組件數據庫,讓工程師直接設定或挑選攪拌槽大小、底部形狀、折流板之配置,葉輪的型式等等。MixSim隨即自動產生3維網絡,并啟動FLUENT做后續的模擬分析。

Icepak

專用的熱控分析CFD軟件,專門仿真電子電機系統內部氣流,溫度分布的CFD分析軟件

CFX-TASCflow

在旋轉機械CFD計算方面具有很強的功能。它可用于不可壓縮流體,亞/臨/超音速流體的流動,采用具有壁面函數的k-e模型、2層模型和Kato-Launder模型等湍流模型,傳熱包括對流傳熱、固體導熱、表面對表面輻射,Gibb’s輻射模型,多孔介質傳熱等。化學反應模型包括旋渦破碎模型、具有動力學控制復雜正/逆反應模型、Flamelet模型、NOx和碳黑生成模型、拉格朗日跟蹤模型、反應顆粒模型和多組分流體模型。CFX-TurboGrid是一個用于快速生成旋轉機械CFD網格的交互式生成工具,很容易用來生成有效的和高質量的網格。

AUTODESK CFD

AUTODESK CFD的前身是CFDesign,在被AUTODESK公司收購后,更名為AUTODESK CFD,是一款類通用CFD求解器,不過其強項還是在于熱分析和建筑通風,人體舒適度分析。AUTODESK CFD的設計思路是讓工程師在設計階段就能夠得到初步的流體分析結果,因此軟件操作設計的非常便捷,對于沒有CFD基礎的設計人員也能很快掌握。

以上就是本篇的關于CFD的介紹,想了解更多CAE相關信息 歡迎掃碼關注小F(ID:iamfastone)獲取

- END -


我們有個CAE設計研發云平臺

集成多種CAE應用,大量任務多節點并行
應對短時間爆發性需求,連網即用
跑任務快,原來幾個月甚至幾年,現在只需幾小時
5分鐘快速上手,拖拉點選可視化界面,無需代碼
支持高級用戶直接在云端創建集群 


掃碼免費試用,送200元體驗金,入股不虧~

更多電子書 歡迎掃碼關注小F(ID:imfastone)獲取

你也許想了解具體的落地場景:
王者帶飛LeDock!開箱即用&一鍵定位分子庫+全流程自動化,3.5小時完成20萬分子對接
這樣跑COMSOL,是不是就可以發Nature了
Auto-Scale這支仙女棒如何大幅提升Virtuoso仿真效率?

1分鐘告訴你用MOE模擬200000個分子要花多少錢
LS-DYNA求解效率深度測評 │ 六種規模,本地VS云端5種不同硬件配置
揭秘20000個VCS任務背后的“搬桌子”系列故事
155個GPU!多云場景下的Amber自由能計算
怎么把需要45天的突發性Fluent仿真計算縮短到4天之內?

5000核大規模OPC上云,效率提升53倍
提速2920倍!用AutoDock Vina對接2800萬個分子

從4天到1.75小時,如何讓Bladed仿真效率提升55倍?
從30天到17小時,如何讓HSPICE仿真效率提升42倍?


關于為應用定義的云平臺:
芯片設計五部曲之三 | 戰略規劃家——算法仿真
芯片設計五部曲之二 | 圖靈藝術家——數字IC
芯片設計五部曲之一 | 聲光魔法師——模擬IC
ICCAD2022】首次公開亮相!國產調度器Fsched,半導體生態1.0,上百家行業用戶最佳實踐
解密一顆芯片設計的全生命周期算力需求
居家辦公=停工?nonono,移動式EDA芯片設計,帶你效率起飛
缺人!缺錢!趕時間!初創IC設計公司如何“絕地求生”?
續集來了:上回那個“吃雞”成功的IC人后來發生了什么?
一次搞懂速石科技三大產品:FCC、FCC-E、FCP
速石科技成三星Foundry國內首家SAFE?云合作伙伴
EDA云平臺49問
億萬打工人的夢:16萬個CPU隨你用
幫助CXO解惑上云成本的迷思,看這篇就夠了
花費4小時5500美元,速石科技躋身全球超算TOP500

相關推薦

發表評論

電子郵件地址不會被公開。 必填項已用*標注

微信掃一掃

微信掃一掃

微信掃一掃,分享到朋友圈

CFD概念詳解
返回頂部

顯示

忘記密碼?

顯示

顯示

獲取驗證碼

Close